首页 》  竞赛与自招 》  2014自主招生卓越联考数学试题(部分)参考解答 返回上一页

2014自主招生卓越联考数学试题(部分)参考解答

发布时间:2014-03-08

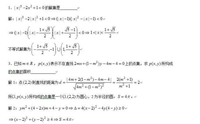
注:因自招试题的官方版一般不外传,每年的试题都是由考生回忆整理形成,难免疏错!卓越试题的文字较多且较难(相对华约和北约),所以有几个题目根据回忆版实在不好答理,所以只能先根据相对正确的试题作答!望谅。